Реклама. ООО «Центр генеалогии «Семейная реликвия», ИНН 7842196068
Документы
Документы Беляевых
senich86Модератор раздела  Питкяранта Сообщений: 935 На сайте с 2015 г. Рейтинг: 913 | Наверх ##
14 июля 2020 21:39 Документы о Беляевых, а также связанные с ними. --- Все мои и личные данные моих предков размещены мною на сайте добровольно.
Мы Карьяла - нам Похьяла! :)
Сеничевы, Беляевы, Александровы, Фроловы, Новиковы, Мозохины, Смирновы, Аксёновы, Пашиловы
Мой дневник: https://forum.vgd.ru/3777/ | | |
senich86Модератор раздела  Питкяранта Сообщений: 935 На сайте с 2015 г. Рейтинг: 913 | Наверх ##
14 июля 2020 21:46 14 июля 2020 22:11 Полная версия письма Леонида Кузичева, о котором писал тут: Беляев Валентин Яковлевич. В письме расписана родословная от Ивана Беляева (мой прапрапрадедушка) до бабушкиных братьев. Позже сделаю Поколенную роспись. Потомки по линии Яковлевичей нами известны и мы общаемся. Кузичев писал о тех кто ему был известен (правда не знаю писал по памяти или документы были подтверждающие) по прямому колену для своего племянника - сына Лины Яковлевны Беляевой (в замужестве - Кирил(л)овой) (родная сестра моей бабушки). Яковлевичи (сёстры и братья мой бабушки - Анны Яковлевны Беляевой (в замужестве - Сеничевой)).
 --- Все мои и личные данные моих предков размещены мною на сайте добровольно.
Мы Карьяла - нам Похьяла! :)
Сеничевы, Беляевы, Александровы, Фроловы, Новиковы, Мозохины, Смирновы, Аксёновы, Пашиловы
Мой дневник: https://forum.vgd.ru/3777/ | | |
senich86Модератор раздела  Питкяранта Сообщений: 935 На сайте с 2015 г. Рейтинг: 913 | Наверх ##
14 июля 2020 21:48 Окончание колена Яковлевичей
 --- Все мои и личные данные моих предков размещены мною на сайте добровольно.
Мы Карьяла - нам Похьяла! :)
Сеничевы, Беляевы, Александровы, Фроловы, Новиковы, Мозохины, Смирновы, Аксёновы, Пашиловы
Мой дневник: https://forum.vgd.ru/3777/ | | |
senich86Модератор раздела  Питкяранта Сообщений: 935 На сайте с 2015 г. Рейтинг: 913 | Наверх ##
14 июля 2020 21:53 Сергеевичи (дети Сергея Нестеровича (Несторовича) Беляева - родные братья и сёстры моего прадедушки Якова Сергеевича Беляева). Кроме детей Татьяны Сергеевны Беляевой (в замужестве - Кузичевой) ни о ком ничего не известно.
 --- Все мои и личные данные моих предков размещены мною на сайте добровольно.
Мы Карьяла - нам Похьяла! :)
Сеничевы, Беляевы, Александровы, Фроловы, Новиковы, Мозохины, Смирновы, Аксёновы, Пашиловы
Мой дневник: https://forum.vgd.ru/3777/ | | |
senich86Модератор раздела  Питкяранта Сообщений: 935 На сайте с 2015 г. Рейтинг: 913 | Наверх ##
14 июля 2020 21:58 14 июля 2020 22:01
 --- Все мои и личные данные моих предков размещены мною на сайте добровольно.
Мы Карьяла - нам Похьяла! :)
Сеничевы, Беляевы, Александровы, Фроловы, Новиковы, Мозохины, Смирновы, Аксёновы, Пашиловы
Мой дневник: https://forum.vgd.ru/3777/ | | |
senich86Модератор раздела  Питкяранта Сообщений: 935 На сайте с 2015 г. Рейтинг: 913 | Наверх ##
14 июля 2020 22:00 14 июля 2020 22:01
 --- Все мои и личные данные моих предков размещены мною на сайте добровольно.
Мы Карьяла - нам Похьяла! :)
Сеничевы, Беляевы, Александровы, Фроловы, Новиковы, Мозохины, Смирновы, Аксёновы, Пашиловы
Мой дневник: https://forum.vgd.ru/3777/ | | |
senich86Модератор раздела  Питкяранта Сообщений: 935 На сайте с 2015 г. Рейтинг: 913 | Наверх ##
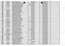
22 ноября 2020 22:46 Книга Памяти Волгоградской области. Продублирую тут:
 --- Все мои и личные данные моих предков размещены мною на сайте добровольно.
Мы Карьяла - нам Похьяла! :)
Сеничевы, Беляевы, Александровы, Фроловы, Новиковы, Мозохины, Смирновы, Аксёновы, Пашиловы
Мой дневник: https://forum.vgd.ru/3777/ | | |
|